全国24小时上门茶,小姐威客兼职2024最新消息,免费24小时全国空降,免费全国空降app入口在哪

深圳市金环宇电线电缆有限公司

网站地图

杨小姐 :13827451949 QQ :2850667656
付小姐 :15919767227 QQ :2850667650
翟小姐 :13510639693 QQ :2850667655
闫先生 :15919875057 QQ :2850667651

您所在的位置:首页 > 新闻资讯 > 电线电缆知识

70平方铜线载流量?70平方电缆能带多少千瓦?多少钱?

电缆达到70平方及以上,一般只有电力电缆YJV和VV两种型号的电缆。下面来说一下,70平方的铜线载流量?70平方电缆能带多少千瓦?70平方电缆多少钱。

<a href='http://www.5xiaobai.cn/bvdianxian/' target='_blank'><u>BV电线</u></a>

70平方的铜线载流量

YJV、YJLV电缆载流量

YJV、YJLV单芯、3芯<a href='http://www.5xiaobai.cn/zailiuliang/' target='_blank'><u>电缆载流量表</u></a>

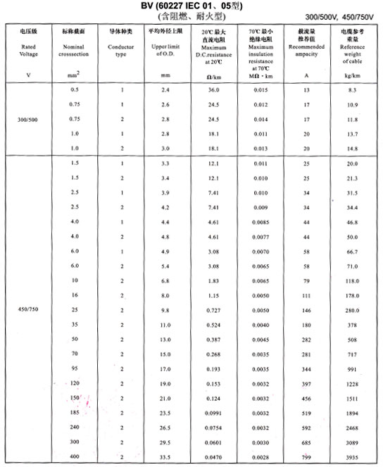
BV电缆载流量

BV电线载流量表

BVR电缆载流量

BVR电缆载流量

70平方电缆能带多少千瓦

电功率的换算方式:

功率P=电压U×电流I

我国的工业电压一般是380V,再根据70平方电缆所能允许的电流再电功率换算公式就能得出以下功率。

下面以金环宇YJV70平方电缆所允许的电流300A为例

那么70平方电缆的功率为300*380*1.414=161196瓦,即161.196千瓦。

70平方电缆价格

现介绍下金环宇70平方铜芯电线价格。

BV70平方国标电缆:58.24元/米

BVR70平方电缆:61.85元/米

YJV70平方国标电缆:60.80元/米

  1. 上一篇:10平方的铜芯电线能带多少千瓦?电功率换算公式
  2. 下一篇:电线电缆中的铜线发黄,原因及处理方法
    延伸阅读

热品推荐

快速通道

金环宇 家装电线 电力电缆 工程案例 新闻资讯 企业介绍 联系我们
杨小姐:138 2745 1949 企业QQ:2850667656 邮箱:13827451949@139.com 杨小姐:138 2882 1707 企业QQ:2850667655 邮箱:13828821707@139.com 付小姐:159 1976 7227 企业QQ:2850667650 邮箱:15919767227@139.com 付小姐:138 2882 8976 企业QQ:2850667651 邮箱:13828828976@139.com 大宗洽谈:135 1063 9693翟小姐 企业QQ:2850667659 邮箱:13510639693@139.com 问题反馈·投诉建议: 闫先生:159 1987 5057 邮箱:15919875057@139.com 网 址:www.5xiaobai.cn/