全国24小时上门茶,小姐威客兼职2024最新消息,免费24小时全国空降,免费全国空降app入口在哪

深圳市金环宇电线电缆有限公司

网站地图

销售热线:0755-8527 0199
服务热线:0755-8527 1399
一对一专人服务:0755-8527 2377
最快一分钟报价:0755-8399 9466

您所在的位置:首页 > 新闻资讯 > 电线电缆知识

0.6/1KV低压电缆型号规格,低压电缆载流量对照表

电缆依据电压等级分为:特高压750KV以上、超高压电缆110-750KV、 高压电缆35-110KV、 中压电缆3-35KV、低压电缆0.6/1KV、 弱电电缆450/750V。

低压0.6/1KV电缆型号及名称

VV(VLV)----聚氯乙烯绝缘聚氯乙烯护套铜芯(铝芯)电力电缆。

VV22(VLV22)----聚氯乙烯绝缘钢带铠装聚氯乙烯护套铜芯(铝芯)电力电缆。

YJV(YJLV)---交联聚乙烯绝缘聚氯乙烯护套铜芯(铝芯)电力电缆。

YJV22(YJLV22)---交联聚乙烯绝缘钢带铠装聚氯乙烯护套铜芯(铝芯)电力电缆。

特别型号如阻燃电缆、耐火电缆、无卤低烟电缆等都有低压电缆型号。

阻燃电缆,则在前面加ZR,即ZR-VV、ZR-YJV。

耐火电缆,在前面加N(或NH),即NH-VV、NH-YJV。

无卤低烟,型号为WD-YJY,交联聚乙烯绝缘聚烯烃护套。

规格:

电缆的规格平方数有1.5、2.5、4、6、10、16、25、35、50、70、95、120、150、185、240、300等。

电缆有单芯与多芯多种组合,常用的是2芯、3芯、4芯、5芯、3+1芯、3+2芯、4+1芯,其中3+1芯、3+2芯、4+1芯为不等径。

0.6/1kv低压电缆载流量对照表

VV、VLV单芯、4芯、5芯、4+1芯电缆载流量表

VV、VLV单芯、2芯、3芯、3+1芯铜芯铝芯电缆载流量表

0.6/1KVVV、VLV单芯、2芯、3芯、3+1芯铜芯铝芯电缆载流量表

0.6/1KVVV22、VLV22单芯、2芯、3芯、4芯、3+1芯钢带铠装电缆载流量对照表

VV22、VLV22单芯、2芯、3芯、4芯、3+1芯电缆载流量表

0.6/1KVYJV、YJLV单芯、3芯电缆载流量对照表

YJV、YJLV单芯、3芯电缆载流量表

YJV、YJLV4芯、5芯、3+1芯、4+1芯、3+2芯电缆载流量对照表

YJV、YJLV4芯、5芯、3+1芯、4+1芯、3+2芯电缆载流量表

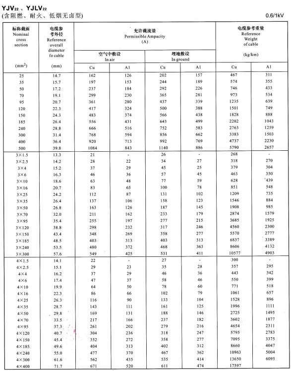
0.6/1KVYJV22、YJVL22单芯、3芯、4芯钢带铠装电缆载流量表

YJV22、YJVL22单芯、3芯、4芯电缆载流量表

  1. 上一篇:金环宇铜芯电缆载流量对照表、铝芯电缆载流量对照表
  2. 下一篇:0.6/1KV低压电力电缆VV、VLV、YJV、YJLV电缆外径尺寸及参考重量对照表

热品推荐

快速通道

金环宇 家装电线 电力电缆 工程案例 新闻资讯 企业介绍 联系我们
杨小姐:138 2745 1949 企业QQ:2850667656 邮箱:13827451949@139.com 杨小姐:138 2882 1707 企业QQ:2850667655 邮箱:13828821707@139.com 付小姐:159 1976 7227 企业QQ:2850667650 邮箱:15919767227@139.com 付小姐:138 2882 8976 企业QQ:2850667651 邮箱:13828828976@139.com 大宗洽谈:135 1063 9693翟小姐 企业QQ:2850667659 邮箱:13510639693@139.com 问题反馈·投诉建议: 闫先生:159 1987 5057 邮箱:15919875057@139.com 网 址:www.5xiaobai.cn/